Browse diagram templates for Activity Diagrams, compare formats, and start faster with AI-ready examples.
Filter by language or use case, preview templates, and jump into related docs before you start generating your own diagram.

Comprehensive system monitoring with vertical conditional decision branches

Standard network troubleshooting with vertical conditional decision tree

Compact security access control with vertical conditional branches

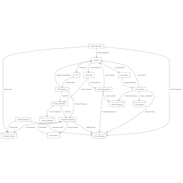
Comprehensive DFD for banking operations including loans and transactions

Standard DFD for restaurant order management and kitchen workflow

Compact DFD for library book lending system

Comprehensive product launch workflow with colored swimlanes across departments

Comprehensive P&ID diagram for oil refinery distillation process

Standard content creation and publishing process with colored swimlanes

Standard P&ID diagram for chemical mixing with control loops

Compact P&ID diagram for water treatment process

Compact expense approval process with colored swimlanes

Comprehensive insurance claim handling with colored swimlanes

Standard software release with colored swimlanes for development teams

Compact hiring workflow with colored swimlanes for departments

Comprehensive IT incident management across support tiers using swimlanes

Standard customer onboarding process across teams using swimlanes

Compact purchase approval workflow across departments using swimlanes

Comprehensive ML training with nested repeat loops for optimization

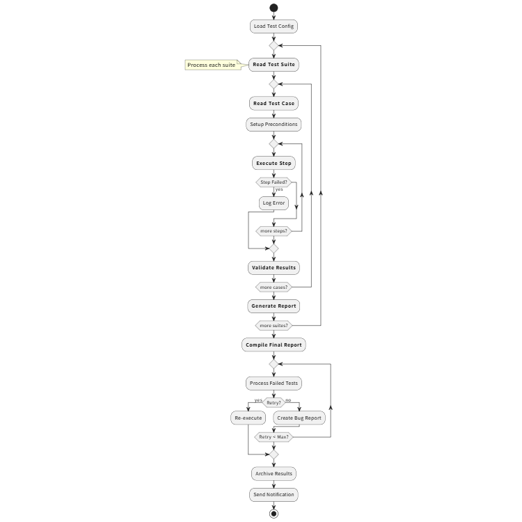
Standard test automation with nested repeat loops for test execution

Compact data migration with nested repeat loops

Comprehensive emergency triage with multiple horizontal condition branches

Standard loan application with multiple horizontal decision branches using elseif

Compact support ticket routing with horizontal elseif conditions

Comprehensive e-commerce order processing with parallel inventory and payment using fork

Standard manufacturing workflow with parallel quality and assembly using fork

Compact software development with parallel tasks using fork syntax