Browse diagram templates for Inventory, compare formats, and start faster with AI-ready examples.
Filter by language or use case, preview templates, and jump into related docs before you start generating your own diagram.

Warehouse storage layout with rack positions and aisle organization

Comprehensive colored order fulfillment workflow

Comprehensive e-commerce checkout sequence with inventory and payment

Comprehensive retail supply chain system with multiple map objects

Comprehensive supply chain system with descriptive class labels

Standard inventory system with product, order, and warehouse packages

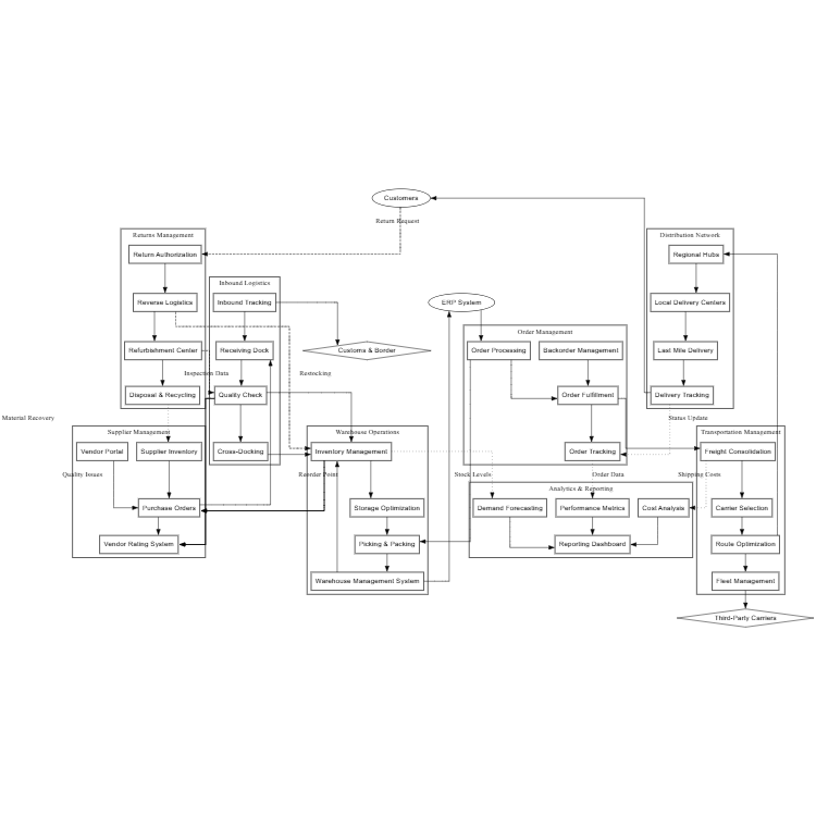
Supply chain and logistics management with warehouse, transportation, and distribution blocks

Class diagram for warehouse inventory system with products, suppliers, and orders

Standard inventory management with component relationships and dependencies

Standard DFD for restaurant order management and kitchen workflow

Product inventory database schema with categories, suppliers, and stock tracking

Complex supply chain coordination using only actor icons for all entities

Comprehensive e-commerce order processing with parallel inventory and payment using fork

Moderate complexity order processing system with inventory and payment subgraphs

Complex supply chain management workflow with colored node styles

Microservices architecture with multiple databases showing order processing and inventory management

Data flow diagram for inventory management system showing stock control, ordering, and warehouse operations