Browse diagram templates for Fdp, compare formats, and start faster with AI-ready examples.
Filter by language or use case, preview templates, and jump into related docs before you start generating your own diagram.

Data flow diagram for manufacturing process control system with production planning, quality control, and resource management

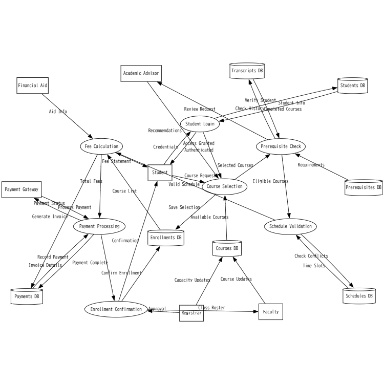
Data flow diagram for university student registration system with enrollment, course selection, and payment processing

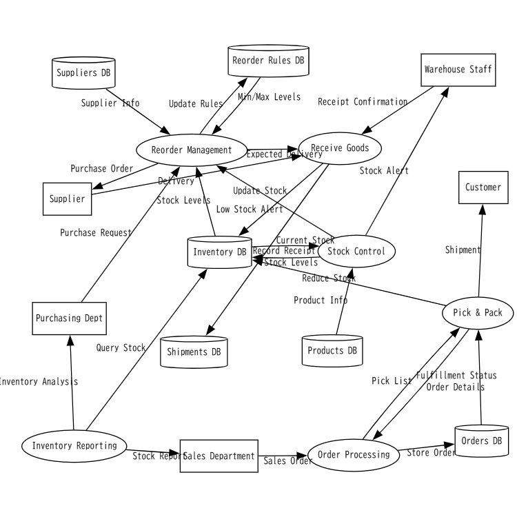
Data flow diagram for inventory management system showing stock control, ordering, and warehouse operations