Browse diagram templates for Resource Planning, compare formats, and start faster with AI-ready examples.
Filter by language or use case, preview templates, and jump into related docs before you start generating your own diagram.

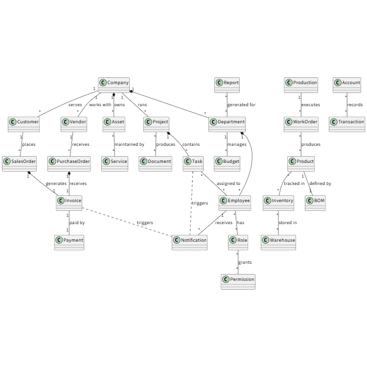
Comprehensive ERP system showing complex class relationships

Comprehensive enterprise IT investment and resource allocation breakdown